28. Alshreimi, Abdullah S.; Shim, Esther J.; Wink, Donald J.; Anderson, Laura L. "Synthesis of γ-Ketoamides from Nitrones and Ynamides through a Copper Catalyzed Cascade Reaction" Org. Lett. 2025, 27, 5989-5994. link

27. Keane, Dylan C.; Zhang, Guanqun, Alshreimi, Abdullah S.; Wink, Donald J.; Anderson, Laura L. "Synthesis of Pyrrolidine-2-ylidenes from Isoxazolines and Allenes" J. Org. Chem. 2024, 89, 17804-17812. link

26. Alshreimi, Abdullah S.; Zhang, Guanqun, Shim, Esther J.; Wink, Donald J.; Anderson, Laura L. "Gold-Catalyzed N-Alkenylation of Isoxazolines and the Use of Alkyl Gold Intermediates in the Synthesis of 2-Amino-1-pyrrolines" ACS Catal. 2024, 14, 2229-2234. link

25. Alonso, Laura; Alshreimi, Abdullah S.; Reidl, Tyler W.; Wink, Donald J.; Anderson, Laura L. "Substituent and Solvent Effect Studies of N-Alkenylnitrone 4π-Electrocyclizations" Chem. Eur. J. 2023, 29, e202300551, selected for inside cover art, initially published as a preprint: Chem. Rxiv. 2022, doi: 10.26434/chemrxiv-2022-bq3vw. link

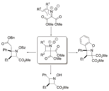
24. Zhang, Guanqun, Alshreimi, Abdullah S.; Alonso, Laura; Antar, Alan, Yu, Hsien-Cheng, Islam, Shahidul M.; Anderson, Laura L. “Nitrone and Alkyne Cascade Reactions for Regio- and Diastereoselective 1-Pyrroline Synthesis” Angew. Chem. Int. Ed. 2021, 60, 13089-13097. link

23. Shevlin, Michael.; Strotman, Neil. A.; Anderson, Laura L. “Concise Synthesis of Furo[2,3-b]indolines via [3,3’]-Sigmatropic Rearrangement of N-Alkenyloxyindoles” Synlett 2021, 32, 197-201. Invited contribution to a Cluster on Modern Heterocycle Synthesis and Functionalization. link

22. Alshreimi, Abdullah S.; Zhang, Guanqun; Reidl, Tyler W.; Peña, Ricardo L.; Koto, Nicholas-George; Islam, Shahidul M.; Wink, Donald J.; Anderson, Laura L. “Synthesis of Spirocyclic 1-Pyrrolines from Nitrones and Arynes through a Dearomative [3,3’]-Sigmatropic Rearrangement” Angew. Chem. Int. Ed. 2020, 59, 15244-15248. link

21. Reidl, Tyler W.; Anderson, Laura L. “Divergent Functionalizations of Azetidines and Unsaturated Azetidines” Asian J. Org. Chem. 2019, 8, 931-945. Invited contribution to a special issue on heterocycles. link

20. Kroc, Michelle A.; Markiewicz, M.; Pace, Wiktoria H.; Wink, Donald J.; Anderson, Laura L. "Catalyst-Controlled Cascade Synthesis of Bridged Bicyclic Tetrahydrobenz[b]azepin-4-ones" Chem. Commun. 2019, 55, 2309-2312. link

19. Son, J.; Reidl, T. W.; Kim, K. H.; Wink. D. J.; Anderson, L. L. "Generation and Rearrangement of N,O-Dialkenylhydroxylamines for the Synthesis of 2-Aminotetrahydrofurans" Angew. Chem. Int. Ed. 2018, 57, 6597-6600. link

18. Kroc, Michelle A.; Prajapati, Ami; Wink, Donald J.; Anderson, Laura L. "Cascade Synthesis of 3-Functionalized Indoles from Nitrones and Their Conversion to Cycloheptanone-Fused Indoles" J. Org. Chem. 2018, 83, 1085-1094, Featured Article. link

17. Reidl, Tyler W.; Son, Jongwoo, Wink, Donald J.; Anderson, Laura L. "Facile Synthesis of Azetidine Nitrones and Diastereoselective Conversion into Densely Substituted Azetidines" Angew. Chem. Int. Ed. 2017, 56, 11579-11583. link

16. Son, Jongwoo, Kim, Ki Hwan, Mo, Dong-Liang, Wink, Donald, J.; Anderson, Laura L. "Single-Step Modular Synthesis of Unsaturated Morpholine N-Oxides and Their Cycloaddition Reactions" Angew. Chem. Int. Ed. 2017, 56, 3059-3063. link

15. Kroc, Michelle A.; Patil, A.; Carlos, A.; Ballantine, J.; Aguilar, S.; Mo, Dong-Liang; Wang, Heng-Yen; Mueller, Daniel S.; Wink, Donald J.; Anderson, Laura L. "Synthesis of α-oxygenated ketones and substituted catechols via the rearrangement of N-enoxy- and N-aryloxyphthalimides" Tetrahedron 2017, 73, 4125-4137. Invited contribution to a special issue on New Advances in Pericyclic Reactions. link
14. Anderson, Laura L.; Kroc, Michelle A.; Reidl, Tyler, W.; Son, Jongwoo "Cascade Reactions of Nitrones and Allenes for the Synthesis of Indole Derivatives" J. Org. Chem. 2016, 81, 9521-9529. JOC Synopsis. link

13. Pace, Wiktoria H.; Mo, Dong-Liang, Reidl, Tyler W.; Wink, Donald J.; Anderson, Laura L. "Catalytic Asymmetric Synthesis of Dihydropyrido[1,2-a]indoles from Nitrones and Allenoates" Angew. Chem. Int. Ed. 2016, 55, 9183 – 9186. link

12. Anderson, Laura L. "Diverse Applications of Nitrones for the Synthesis of Heterocyclic Compounds" Asian J. Org. Chem. 2016, 5, 9 – 30. link

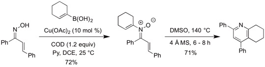
11. Kontokosta, Dimitra; Mueller, Daniel S.; Mo, Dong-Liang; Pace, Wiktoria H.; Simpson, Rachel A. "Copper-mediated synthesis of N-alkenyl-𝛼,𝛽-unsaturated nitrones and their conversion to tri- and tetra substituted pyridines" Beilstein J. Org. Chem. 2015, 11, 2097 – 2104. link

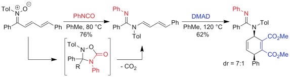
10. Mo, Dong-Liang; Pecak, Wiktoria H.; Zhao, Meng; Wink, Donald J.; Anderson, Laura L. "Synthesis of N-Styrenyl Amidines from 𝛼,𝛽-Unsaturated Nitrones and Isocyanates through CO2 Elimination and Styrenyl Migration" Org. Lett. 2014, 16, 3696 – 3699. link

9. Mo, Dong-Liang; Wink, Donald J.; Anderson, Laura L. "Solvent-Controlled Bifurcated Cascade Process for the Selective Preparation of Dihydrocarbazoles or Dihydropyridoindoles" Chem. Eur. J. 2014, 20, 13217 – 13225. link

8. Pecak, Wiktoria, H.; Son, Jongwoo; Burnstine, Amy J.; Anderson, Laura L. "Synthesis of 1,4-Enamino Ketones by [3,3]-Rearrangements of Dialkenylhydroxylamines" Org. Lett. 2014, 16, 3440 – 3443. link

7. Kontokosta, Dimitra; Mueller, Daniel S.; Wang, Heng-Yen; Anderson, Laura L. "Preparation of 𝛼-Imino Aldehydes by [1,3]-Rearrangements of O-Alkenyl Oximes" Org. Lett. 2013, 15, 4830 – 4833. link

6. Wang, Heng-Yen; Anderson, Laura L. "Interrupted Fischer-Indole Intermediates via Oxyarylation of Alkenyl Boronic Acids" Org. Lett. 2013, 15, 3362 – 3365. link

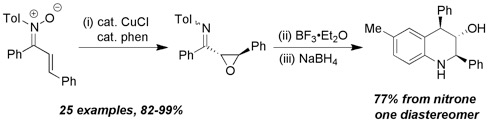
5. Mo, Dong-Liang; Anderson, Laura L. "Copper-Catalyzed Rearrangement of N-Aryl Nitrones into Epoxyketimines" Angew. Chem. Int. Ed. 2013, 52, 6722 – 6725. link

4. Mo, Dong-Liang; Wink, Donald J.; Anderson, Laura L. "Preparation and Rearrangements of N-Vinyl Nitrones: Synthesis of Spiroisoxazolines and Fluorene-Tethered Isoxazoles" Org. Lett. 2012, 14, 5180 – 5183. link

3. Patil, Aditi S; Mo, Dong-Liang; Wang, Heng-Yen; Mueller, Daniel S.; Anderson, Laura L. "Preparation of 𝛼-Oxygenated Ketones by the Dioxygenation of Alkenyl Boronic Acids" Angew. Chem. Int. Ed. 2012, 51, 7799 – 7803. link

2. Wang, Heng-Yen; Mueller, Daniel S.; Sachwani, Rachna M.; Kapadia, Rachel, Londino, Hannah N.; Anderson, Laura L. "Regioselective Synthesis of 2,3,4- or 2,3,5-Trisubstituted Pyrroles via [3,3] or [1,3] Rearrangements of O-Vinyl Oximes" J. Org. Chem. 2011, 76, 3203 – 3221. link

1. Wang, Heng-Yen; Mueller, Daniel S.; Sachwani, Rachna M.; Londino, Hannah N.; Anderson, Laura L. "Carbon–Carbon Bond Formation and Pyrrole Synthesis via the [3,3] Sigmatropic Rearrangement of O-Vinyl Oxime Ethers" Org. Lett. 2010, 12, 2290 – 2293. link

L. Anderson supervised publications:
6. Anderson, Laura L.; Woerpel, Keith A.; "Formation and Utility of Azasilacyclopentadienes Derived from Silacyclopropenes and Nitriles" Org. Lett. 2009, 11, 425 - 428.
5. Krinsky, Jamin L.; Anderson, Laura L.; Arnold, John, Bergman, Robert G. "Oxygen-Centered Hexatantalum Tetradecaimido Cluster Complexes" Inorg. Chem. 2008, 47, 1053 - 1066.
4. Krinsky, Jamin L.; Anderson, Laura L.; Arnold, John, Bergman, Robert G. "Synthesis and Properties of Oxygen-Centered Tetradecaimido Hexatantalum Clusters" Angew. Chem. Int. Ed. 2007, 46, 369 - 372.
3. Anderson, Laura L.; Schmidt, Joseph A. R.; Arnold John, Bergman, Robert G. "Neutral and Cationic Alkyl Tantalum Imido Complexes: Synthesis and Migratory Insertion Reactions" Organometallics 2006, 25, 3394 - 3406.
2. Anderson, Laura L.; Arnold, John; Bergman, Robert G. "Proton-Catalyzed Hydroamination and Hydroarylation Reactions of Anilines and Alkenes: A Dramatic Effect of Counterions on Reaction Efficiency" J. Am. Chem. Soc. 2005, 127, 14542-14543.
1. Anderson, Laura L.; Arnold, John; Bergman, Robert G. "Catalytic Hydroamination of Alkynes and Norbornene with Neutral and Cationic Tantalum Imido Complexes" Org. Lett. 2004, 6, 2519 - 2522.
